Download Soal UTS 2 Matematika Kelas 5 ~ Rief Awa Blog : Download Kumpulan Soal Ujian SD Terbaru

Berikut ini penulis sajikan Soal LatihanYang Di rangkum Untuk Pengunjung [Dari Berbagai Sumber] salah Satunya dari Bing.com Membahas tentang Soal-soal Pelajaran sekolah soal matematika kelas 6 k 13 , Anda dapat mencari juga di pencarian BING.COM.
Contoh Materi Antara Lain Sesuai Download Soal UTS 2 Matematika Kelas 5 ~ Rief Awa Blog : Download Kumpulan Soal Ujian SD Terbaru's Silahkan di SimakMateri Terkait Download Soal UTS 2 Matematika Kelas 5 ~ Rief Awa Blog : Download Kumpulan Soal Ujian SD Terbaru
Soal Matematika SD Kelas 6 Latihan Semester 2 Download Buku Gratis
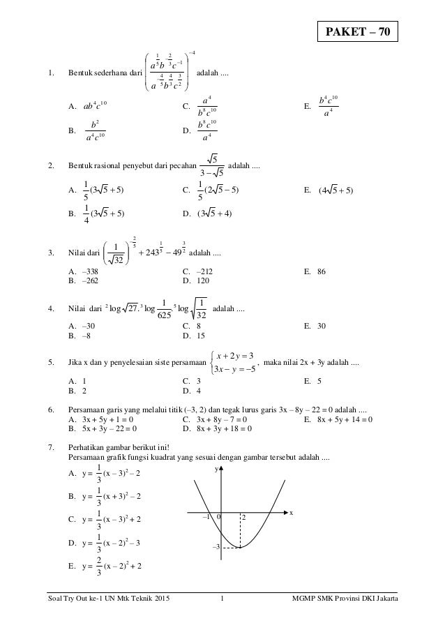
Soal Tryout ke1 P.70 Matematika Teknik Kelas XII

Contoh Soal Pilihan Ganda Buku Besar Dan Jawabannya Virallah

Tidak Ada Komentar